Türk Hava Kurumu'nun gayrimenkullerini satışa çıkaran kayyuma, mahkeme "dur" dedi
Haber Videosunu İzle 
Türk Hava Kurumu Kayyum Heyeti Başkanı olarak atanan Cenap Aşçı'nın THK'ya ait 15 ilde 44 gayrimenkulü satışa çıkarma işlemlerine Ankara 9. Sulh Hukuk Mahkemesi izin vermedi.
Cenap Aşçı, Ankara 9. Sulh Hukuk Mahkemesi 16 Ekim 2019'da Türk Hava Kurumu Kayyum Heyeti Başkanı olarak atanmıştı. Aynı mahkeme, 4 Temmuz tarihinde Resmi Gazete'de yayımlanan THK'ya ait 15 ilde 44 gayrimenkulün satışa çıkarılma işlemlerine izin vermedi.
MAHKEME GEREKÇESİNİ AÇIKLADI
Gerekçe olarak ise kayyum heyetinin vesayet makamı olarak satış yapılacak menkul ya da gayrimenkullere ilişkin bilgilendirme yapmaması ve mahkemeden özel olarak izin alınmaması gösterildi.
Mahkemeden yapılan açıklamada "Gelinen aşamada her ne kadar gayrimenkul ve menkullere satış izni verilmişse de kayyum heyetinin vesayet makamı olarak mahkememizi satış yapılacak menkul ya da gayrimenkullere ilişkin bilgilendirme yapmadığı, mahkemeden özel olarak izin alınmadığı görülmüştür." açıklaması yapıldı.
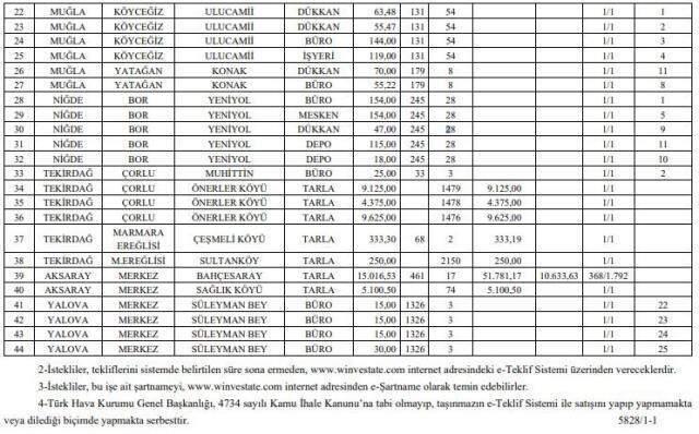
THK'NIN 15 İLDE TAŞINMAZI BULUNUYOR
THK'nin Antalya, Burdur, Çanakkale, Çorum, Denizli, Edirne, Erzurum, İzmir, Kırklareli, Kocaeli, Muğla, Niğde, Tekirdağ, Aksaray ve Yalova'daki mesken, tarla, bağ, dükkan, büro ve depo gibi gayrimenkulleri bulunuyor.












